热电材料可以直接将热能转化为电能而无额外污染,可以缓解能源短缺和环境污染问题,因此热电材料的寻找是物理学的热点问题之一。通常情况下,热电材料的转换效率通过热电品质因数(zT)衡量,寻求高zT值的热电材料成为核心问题。前期研究发现,影响zT值有三个因素:塞贝克系数、电导率和热导率,它们之间相互制约,如何寻找三者平衡的材料成为难点问题之一。
近期,18jav
18jav
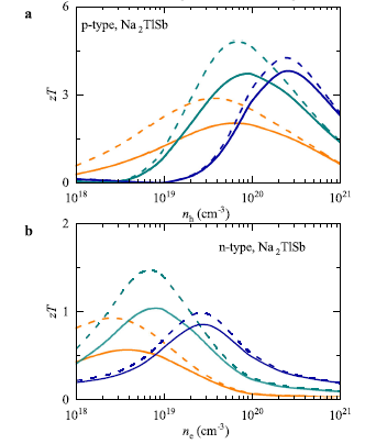
计算物理研究团队联合清华大学,中科院物理所在热电领域取得重要进展。基于第一性原理计算并结合自洽声子理论和玻尔兹曼输运方程,研究人员发现有晃动行为的铊原子的强四次“非谐”性和温度依赖性对Na2TlSb的晶格稳定性起重要作用,能带中多谷结构增加了能带简并,并导致p型Na2TlSb超低晶格热导率和高功率因数的共存,表明Na2TlSb是热电应用的优越候选者。研究成果以“Strong quartic anharmonicity, ultralow thermal conductivity, high band degeneracy and good thermoelectric performance in Na2TlSb”为题,发表在国际权威期刊《NPJ Computational Materials》。


《NPJ Computational Materials》是Springer Nature集团Nature Partner Journals系列子刊之一,影响因子12+。我校赵银昌教授和戴振宏教授、清华大学倪军教授以及中科院物理所孟胜研究员为共同通讯作者。项目得到了国家自然科学基金的资助。
原文链接://doi.org/10.1038/s41524-023-00970-4
审核:李营